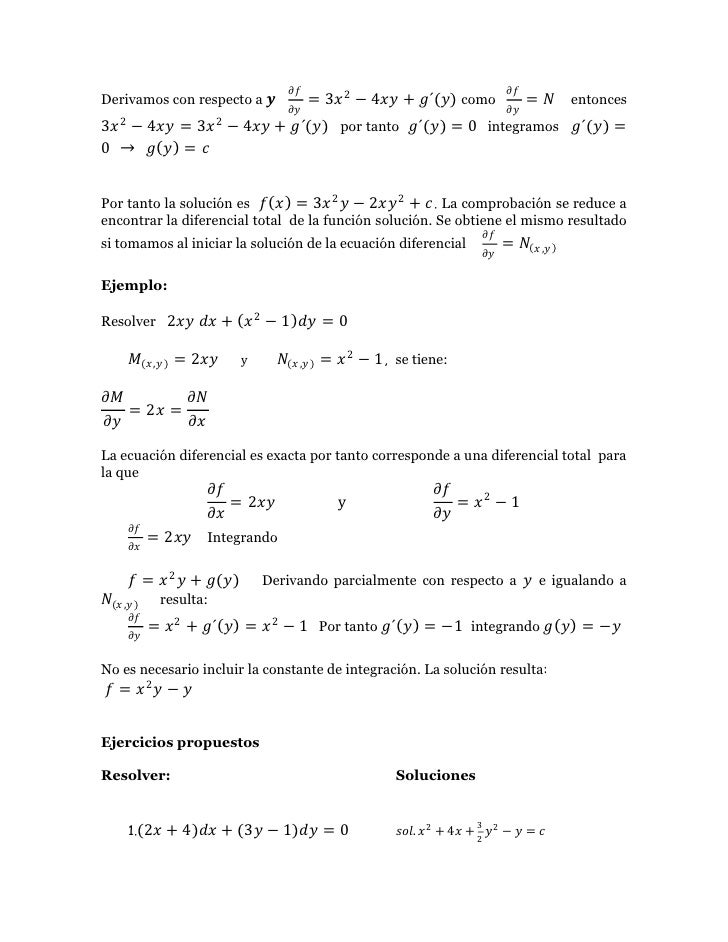
Compute answers using Wolfram's breakthrough technology & knowledgebase, relied on by millions of students & professionals For math, science, nutrition, historyAn ordinary differential equation of first order and first degree can be written as dy dx = f(x,y) d y d x = f ( x, y) , where f(x,y) f ( x, y) is a function of two variables x,y x, y Which canDifferential equation Solve $(2xy^4e^y 2xy^3 y)dx (x^2y^4e^y x^2y^2 3x) dy = 0$ written 52 years ago by aksh_31 ♦ 22k • modified 52 years ago Mumbai University > First Year Engineering > sem 2 > Applied Maths 2 Marks 6 Year 13 ADD COMMENT FOLLOW SHARE EDIT 1 Answer 2 601 views
Solve The Differential Equation X Y 2 X Dx Y X 2 Y Dy 0
(x^2-y^2)dx (x^2-2xy)dy=0 solucion
(x^2-y^2)dx (x^2-2xy)dy=0 solucion- y^2 = x^2(2lnx c) We can rewrite this Ordinary Differential Equation in differential form (x^2 y^2) \ dx xy \ dy = 0 A as follows \ \ \ \ dy/dx = (x^2 y^2)/(xy) dy/dx = x/y y/x B Leading to a suggestion of a substitution of the form u = y/x iff y = ux And differentiating wrt x whilst applying the product rule dy/dx = u x(du)/dx Substituting into the Let y = y(x) be solution of the following differential equation e^y dy/dx 2e^y sinx sinx cos^2x = 0, y(π/2) = 0 asked Aug 7 in Mathematics by kavitaKumari ( 118k points) jee



Taller 3 Ecuaciones Diferenciales Ecuaciones Cantidades Fisicas
2xy9x^2(2yx^21)\frac{dy}{dx}=0, y(0)=3 en Related Symbolab blog posts Advanced Math Solutions – Ordinary Differential Equations Calculator, Linear ODE Ordinary differential equations can be a little tricky In a previous post, we talked about a brief overview of91 A product of several terms equals zero When a product of two or more terms equals zero, then at least one of the terms must be zero We shall now solve each term = 0 separately In other words, we are going to solve as many equations as there are terms in the product Any solution of term = 0 solves product = 0 as well2xy9x^2(2yx^21)\frac{dy}{dx}=0, y(0)=3 es Related Symbolab blog posts Advanced Math Solutions – Ordinary Differential Equations Calculator, Linear ODE Ordinary differential equations can be a little tricky In a previous post, we talked about a brief overview of
Accede a un vistazo (primeros 2 pasos) de soluciones paso a paso a miles de problemas Hazte premium para desbloquear soluciones completas Descanza y estrésGet an answer for 'solve the differential equation (2xy3y^2)dx(2xyx^2)dy=0 ' and find homework help for other Math questions at eNotesGiven The homogeneous differential equation is given as, (x2y2)dxxydy =0 ( x 2 y 2) d x x y d y = 0 To find the solutionView this answer Given 2xy dx(x2−1) dy = 0 2 x y d x ( x 2 − 1) d y = 0 Rewrite 2xy dxx2 dy−1 dy = 0 2 x y d x x 2 d y − 1 d y = 0 Change the sides $$2 xy \ dx x^2 \ dy = 1Click here👆to get an answer to your question ️ Solve the differential equation
Answer to Solve the homogeneous equations x^2 dy ( y^2 xy) dx =0 By signing up, you'll get thousands of stepbystep solutions to yourI = e^(int P(x) dx) \ \ = exp(int \ 2/x \ dx) \ \ =Aprende en línea a resolver problemas de ecuaciones diferenciales paso a paso Resolver la ecuación diferencial dy/dx2x*y^2=0 Necesitamos aislar la variable dependiente y, podemos hacerlo restando 2xy^2 a ambos miembros de la ecuación Agrupar los términos de la ecuación diferencial Mover los términos de la variable y al lado izquierdo, y los términos de la variable x



Solve The Following Differential Equation X 2 Y 2 Dx 2xy Dy 0 Given That Y 1 When X 1 Sarthaks Econnect Largest Online Education Community



1 Examen Departamental 14 Con Solucion By Gerson Villa Gonzalez Issuu
3e tan(y)dx (2 e )sec (y)dy 0 x x 2 x 2 x x 2 x x 2 x dx d(e y) e y'2xy e (1 ); M = x 2 4xy 2y 2, N = y 2 4xy 2x 2 dM/dy = 4x 4y dN/dx = 4y 4x Therefore, dM/dy = dN/dx So, the given differential equation is exact On integrating M wrt x, treating y as a constant, On integrating N wrt y, treating x as a constant, (omitting 2xy 2 2x 2 y which already occur in ∫M dx) Therefore, the solution ofSimple and best practice solution for (y^22xy)dx(x^22xy)dy=0 equation Check how easy it is, and learn it for the future Our solution is simple, and easy to understand, so don`t hesitate to use it as a solution of your homework If it's not what You are looking for type in the equation solver your own equation and let us solve it



Ex 9 5 4 Show Homogeneous X2 Y2 Dx 2xy Dy 0 Ex 9 5



Solve Dy Dx X 2 3y 2 2xy Youtube
Solve the following differential equation (x2 y2)dx 2xy dy = 0Resolver para x (x^2y^2)dx(x^22xy)dy=0 Factorizar la ecuación Toca para ver más pasos Factoriza a partir de Toca para ver más pasos Factoriza a partir de Sustituir los valores , y en la fórmula cuadrática y resolver para Simplifica Toca para ver más pasos Simplifica el numerador Toca para ver más pasos2xy9x^2(2yx^21)\frac{dy}{dx}=0, y(0)=3 pt Related Symbolab blog posts Advanced Math Solutions – Ordinary Differential Equations Calculator, Bernoulli ODE Last post, we learned about separable differential equations In this post, we will learn about Bernoulli differential



For The Differential Equation X 2 Y 2 Dx 2xy Dy 0 Which Of The Following Are True Youtube



Http Www2 Imperial Ac Uk Jdg Ae2mapde Pdf
(y^22xy)dx (x^2) dy = 0 Integrating factor y^2 solution xx^2/y = C Finding the integrating factor Giving these things some names names M(x,y) = y^22xy N(x,y) = x^2 M(x,y) dx N(x,y) = 0 We're looking to make this an exact equation, because if we do, it can be solved rather systematically In order to be exact, by claurait's theoem (think that's the name ofSolve your math problems using our free math solver with stepbystep solutions Our math solver supports basic math, prealgebra, algebra, trigonometry, calculus and moreGet an answer for 'solve first grade ecuation with bernoulli dy/dx = (y^22xy)/x^2 general ecuation and particular when y(1)=1' and find homework help for other Math questions at eNotes



Http Edshare Soton Ac Uk Id Document 55



A Solution Of Dy Dx X Y Download Scientific Diagram
COEFICIENTES INDETERMINADOS Y VARIACION DE PARAMETROS v RESOLUCION DE ECUACIONES DIFERENCIALES DE ORDEN SUPERIOR HOMOGENEAS Y NO HOMOGENEAS dy 3e tan(y)dx; I'm at the beggining of a differential equations course, and I'm stuck solving this equation $$(x^2y^2)dx2xy\ dy=0$$ I'm asked to solve it using 2 different methods I proved I can find integrating factors of type $\mu_1(x)$ and $\mu_2(y/x)$If I'm not wrong, these two integrating factors are $$\mu_1(x)=x^{2} \ \ , \ \ \mu_2(y/x)=\left(1\frac{y^2}{x^2}\right)^{2 Ex 95, 4 show that the given differential equation is homogeneous and solve each of them (𝑥^2−𝑦^2 )𝑑𝑥2𝑥𝑦 𝑑𝑦=0 Step 1 Find 𝑑𝑦/𝑑𝑥 (𝑥^2−𝑦^2 )𝑑𝑥2𝑥𝑦 𝑑𝑦=0 2xy dy = − (𝑥^2−𝑦^2 ) dx 2xy dy = (𝑦^2−𝑥^2 ) dx 𝑑𝑦/𝑑𝑥 = (𝑦^2 − 𝑥^2)/2𝑥𝑦 Step 2 Putting F(x, y) = 𝑑𝑦/𝑑𝑥 and finding F



Ex 9 5 4 Show Homogeneous X2 Y2 Dx 2xy Dy 0 Ex 9 5



Homogeneous Differential Equation Y 2 Yx Dx X 2dy 0 Youtube
The ODE is homogeneous ODE of order one This is because the coefficients of dx and dy are both homogeneous two variables functions of the same order I suggest you write the ODE as y′ = 32t2t2−t−2 = f (t), (x = 0,t = y/x) Find the solution of (xy^22x^2y^3)dx (x^2yx^3y^2)dy=02 n 0 x n 2n 1 x 2 n 0 2 2n 1 x n 0 n 2n x x x x x x x x x x 2xdx x 2 2 2 2 2 y = 2x^2c/x^2 > 2(y4x^2)dxxdy = 0 Which we can rearrange as follows dy/dx = (2 (y4x^2))/x " " = 8x(2y)/x dy/dx (2y)/x = 8x A We can use an integrating factor when we have a First Order Linear nonhomogeneous Ordinary Differential Equation of the form;



2xy Dy Dx X 2 3y 2 Youtube



Factor Integrante Ppt Video Online Descargar
Simple and best practice solution for (2xyy)dx(x^2y)dy=0 equation Check how easy it is, and learn it for the future Our solution is simple, and easy to understand, so don`t hesitate to use it as a solution of your homework If it's not what You are looking for type in the equation solver your own equation and let us solve itSolution for Solve dy/dx=2xy/(x^2y^2) Q A group of 150 tourists planned to visit East AfricaAmong them, 3 fall ill and did not come, of th A Consider the provided question, First draw the Venn diagram according to the given question, Let K r(y2 2xy)dx− x2dy = 0 we have M(x,y) = y2 2xy and N(x,y) = −x2, which leads to ∂M ∂y = 2x2y and ∂N ∂x = −2x Since ∂M ∂y 6= ∂N ∂x the equation is not exact However, 1 M ∂N ∂x − ∂M ∂y = − 2 y which implies that thereexists an integratingfactor, dependingonly on y, which satisfies 1 µ dµ dy = − 2 y An



How To Find Exact Equation Quick And Easy Differential Equations Explained Right Youtube



Ecuaciones Diferenciales Exactas Ppt Video Online Descargar
X 2 Y 2 Dx 2xy Dy 0 Integrating Factor, Ex 9 5, 4 Show homogeneous (x2 y2) dx 2xy dy = 0, Example 17 Show 2y e x/y dx (y 2x ex/y) dy = 0, How to find an integrating factor and solve (2x^2y x) dy, Ex 9 5, 4 Show homogeneous (x2 y2) dx 2xy dy = 0Click here👆to get an answer to your question ️ (x2 2xy y2) dx (x y)2 dy = 0 Ex 95, 15 For each of the differential equations in Exercises from 11 to 15 , find the particular solution satisfying the given condition 2𝑥𝑦𝑦^2−2𝑥^2 𝑑𝑦/𝑑𝑥=0;𝑦=2 When 𝑥=1 Differential equation can be written 𝑎s 2𝑥𝑦𝑦^2−2𝑥^2 𝑑𝑦/𝑑𝑥=0 2𝑥𝑦𝑦^2= 2𝑥^2 𝑑𝑦/𝑑𝑥 2𝑥^2 𝑑𝑦/𝑑𝑥=2𝑥𝑦𝑦^2 𝑑𝑦/



Ecuaciones Diferenciales Exactas



7 X 2 Y 2 Dx X 2 2xy Dy 0 Ecuacion Diferencial Exacta Youtube
Dy dx =sin5x 2 dx e3x dy =0 3 (x1) dy dx = x6 4 xy0 =4y 5 dy dx = y3 x2 6 dx dy = x2y2 1x 7 dy dx = e3x2y 8 ¡ 4y yx2 ¢ dy − ¡ 2xxy2 ¢ dx =0 9 2y(x1)dy = xdx 10 ylnx dx dy = µ y 1 x ¶ 2 (11) dy dx =sin5x, dy =sin5xdx, Z dy = Z sin5xdx, y = − 1 5 cos5xc, c ∈R (12) dxe3x dy =0, 1Find dy/dx x^2y^2=2xy Differentiate both sides of the equation Differentiate the left side of the equation Tap for more steps Differentiate Tap for more steps By the Sum Rule, the derivative of with respect to is Differentiate using the Power Rule which states that is whereHow do you solve the following equation (X^2y^2) dx2xydy=0, y (1) =1?We shall now solve each term = 0 separately In other words, we are going to solve as many equations as there are terms in the product Any solution of term = 0 solves product = 0 as well Solving a Single Variable Equation 52 Solve y = 0 Solution is y = 0 Solving a Single Variable Equation 53 Solve x 4 dx 21 = 0Solve



Ecuaciones Diferenciales Con Aplicaciones En Maple Pdf Free Download



Find The Particular Solution Of The Differential Equation 3xy Y 2 Dx X 2 Xy Dy 0 For X 1 Y 1 Sarthaks Econnect Largest Online Education Community
Tan − 1 (x 1 − x 2 ) w r t cos − 1 (2 x 1 − x 2 ), when x = 0 and show that its second derivative is zero View Answer The set of all points of differentiability of the function f ( x ) = x x 1 1 for x and f ( 0 ) = 0 isEquation (α xy 3 y cos x) dx (x 2 y 2 β sin x) dy = 0 is exact if Please scroll down to see the correct answer and solution guideSolve ( x 2 y − 2 x y 2) d x − ( x 3 − 3 x 2 y) d y = 0 written 34 years ago by smitapn612 ♦ 90 modified 15 months ago by sanketshingote ♦ 570 ADD COMMENT 1 Answer 1 658 views written 34 years ago by smitapn612 ♦ 90 modified 33 years ago by awariswati1 ♦ 770



最新 Xy1 試す



Find Differential Equation Of 3xy Y 2 Dx X 2 Xy Dy Brainly In
Answer to Consider F and C below F(x, y) = (5 2xy^2)i 2x^2y j, C is the arc of the hyperbola y = 1/x from (1, 1) to (3, 1/3) Find aFactorx^{2}y^{2}2xy he Related Symbolab blog posts Practice Makes Perfect Learning math takes practice, lots of practice Just like running, it takes practice and dedication If you want Solve dy/dx = y 2 2xy/x 2 xy class11;U(x) e e ;Dy/dx P(x)y=Q(x) Then the integrating factor is given by;



How To Solve X Y Dx 2xy Dy 0 Quora



Solve The Differential Equation X Y 2 X Dx Y X 2 Y Dy 0
(X^22xyy^2)dx(xy^2)dy=0 1 See answer ssirissiri97 is waiting for your help Add your answer and earn points(Sec 26 Problem 4) (2xy 22y)(2x y 2x)y0 = 0 Solution Let M(x,y) = 2xy2 2y and N(x,y) = 2x2y 2x We have M y = 4xy 2 and N x = 4xy 2 So M y = N x and the given equation is exact Thus there is a function φ(x,y) such that φ x = M = 2xy2 2y andR φ y = N = 2x2y2x Integrating the first equation, we have φ(x,y) = (2xy2 2y)dxMath\text{Use a substitution} \left\{\begin{array}{l} u = \frac{y}{x} \\ y = ux \\ \mathrm dy = u \,\mathrm dx x \,\mathrm du \end{array}\right/math math(x



最新 Xy1 試す



4 Obtenga La Solucion General De Las Ecuaciones Chegg Com
Q1 (2xy sin x)dx (x cos y)dy= 0 Q2 (1 2x/ y2) dx 2y x2 y2dy = 0 Q3 Q4 2xy 9x2 (2y x1)=0;Y(0) =3 Q5 xy24 =2(3 xy) y1) =8 solve it by exact differential equation



Ecuaciones Diferenciales Ordinarias By Gerson Villa Gonzalez Issuu



How To Solve The General Solution Of X 3 Y 3 Dx Xy 2dy 0 Quora



Www Tau Ac Il Levant Ode Solution 6 Pdf



Solve 3xy 2ay 2 Dx X 2 2axy Dy 0 Mathematics Stack Exchange



Verify That The Given Differential Equation Is Not Chegg Com



Doc Ejercicios 2 4 Julinho Enrique Campos Sucari Academia Edu



Solve X 2 Xy 3y 2 Dx X 2 2xy Dy 0 Show Chegg Com



Find The Particular Solution Of The Differential Equation 3xy Y 2 Dx X 2 Xy Dy 0 For X 1 Y 1 Sarthaks Econnect Largest Online Education Community



The Solution Of The Differential Equation Y Xy 2x 2y 2 Dx X Xy X 2y 2 Dy 0 Is Given Youtube



1 X Cos 2 Y Dx Tany Dy 0 2 Yin X In Y Dx Dy 0 Chegg Com



Ecuacion Homogenea X 2 Xy 3y 2 Dx X 2 2xy Dy 0 Youtube



For The Differential Equation X 2 Y 2 Dx 2xy Dy 0 Which Of The Following Are True A Solution Is X 2 Y 2 Cx B X 2 Y 2 Cx C X 2 Y 2 X C D Y 0 0



A Solution Of Dy Dx X Y Download Scientific Diagram



Calameo Unidadunoedo



What Is Xydx X 2 3y 2 Dy 0 In A Homogeneous Differential Equation Quora



Doc Differential Equations Tt Arafat Rahman Academia Edu



Find The Particular Solution Of Cos X X Sin X Y 2 Dx 2xy Dy 0 That Satisfies The Initial Condition Y 1 When X Pi



Ecuaciones Diferenciales Exactas



Solution Of Y Xy 1 Dx X 1 Xy X 2y 2 Dy 0 Mathematics Stack Exchange



Can Anyone Solve This 2x 3y 1 Dx 3x 2y 1 Dy 0 Quora



X 2 Y 2 Dx 2xy Dy 0 Youtube



Www Ucl Ac Uk Ucahhwi Gm01 Ode Extra Pdf



Doc Calculo 40 Integrales Inmediatas Wendy Gomez Academia Edu



1



Solve The Following Differential Equation 3xy Y 2 Dx X 2 Xy Dy 0 Sarthaks Econnect Largest Online Education Community



Verifying Solutions To Differential Equations Video Khan Academy



3x Y Y 2 Dx X 2 X Y Dy 0 Youtube



For The Differential Equation X 2 Y 2 Dx 2xy Dy 0 Which Of The Following Are True A Solution Is X 2 Y 2 Cx B X 2 Y 2 Cx C X 2 Y 2 X C D Y 0 0



X 2 Y 2 Dx 2xy Dy 0 The Solution To This Differential Equation Represents Which Curve



Ecuaciones Diferenciales Exactas Ecuaciones Diferenciales Ecuaciones



Http Cdigital Dgb Uanl Mx La Pdf



Ex 9 5 4 Show Homogeneous X2 Y2 Dx 2xy Dy 0 Ex 9 5



Near Dx 11 1 Dx 4x Dy Hint Try Finding 12 Chegg Com



2x 5y 3 Dx 2x 4y 6 Dy Mathematics Stack Exchange



Ex 9 5 4 Show Homogeneous X2 Y2 Dx 2xy Dy 0 Ex 9 5



Tarefa Solucion A La Ecuacion Diferencial Homogenea Xy 4y 2 2x 2 Dx X 2 Dy 0 1 2 Facebook



2xy Y 2 2x 2 Dy Dx 0 Y 2 When X 1 Sarthaks Econnect Largest Online Education Community



Y 2 E X 2xy Dx X 2 Dy 0



Ecuaciones Diferenciales Homogeneas Xy Y 2 X 2 Dx X 2dy 0 La Prof Lina M3 Youtube



Ecuaciones Diferenciales Homogeneas Ayuda X 2 Y 2 Dx X 2 Xy Dy 0 Brainly Lat



Q Tbn And9gct0h2o5pe0g19uo6sect5yeyoajck8dueg8x9euzd6dopmlxj4i Usqp Cau



Al Solucionar La Siguiente Ecuacion Diferencial Chegg Com



Ex 9 5 4 Show Homogeneous X2 Y2 Dx 2xy Dy 0 Ex 9 5



How To Solve The Differential Equation Xy Dx X 2 2y 2 Dy 0 Quora



X Y Formula



Ecuaciones Diferenciales Ordinarias



Implicit And Logarithmic Differentiation



Solve The Following Differential Equation 5xy 4y 2 1 Dx X 2 2xy Dy 0 Study Com



What Is The Solution Of The Equation Xy Y Dx X Dy 0 Quora



Y 2 E Xy 2 4x 3 Dx 2xye Xy 2 3y 2 Dy 0 Brainly In



How To Solve 2x Y 1 Dx X 4y 3 Dy 0 Quora



How To Solve This Differential Equation 2xydy X 2 Y 2 1 Dx 0 Quora



Ecuaciones Diferenciales Mediante Simetrias Pagina 2 Monografias Com



X Y 2 Dx 2xy Dy 0 Sarthaks Econnect Largest Online Education Community



How To Solve The Differential Equation Xy Dx X 2 2y 2 Dy 0 Quora



Differential Equations Solutions Slope Equations



2xy Dx X2 Y Dy 0 2xy Y2 1 33 3xy Chegg Com



Find The General Solution Of 1 Tan Y Dx Dy 2xdy 0 Studyrankersonline



Evaluate X 2 3y 2 Dx 2xy Dy 0 Y 2 6 Study Com



How To Solve 2x Y 1 Dx X 4y 3 Dy 0 Quora



Ecuaciones Diferenciales Integral Ecuacion Diferencial Parcial



Calameo Ejercicios Resueltos Ecuaciones Diferenc



Pdf Ejercicios Preparacion Parcial 1 Edo Andres Gonzalez Academia Edu



Y Xy 3 1 X 2 1 2 Y 0 1 Harushley



The D E X 2 Y 2 Dx X 2 2xy Dy 0 Is Chegg Com



For The Differential Equation X 2 Y 2 Dx 2xy Dy 0 Which Of The Following Are True A Solution Is X 2 Y 2 Cx B X 2 Y 2 Cx C X 2 Y 2 X C D Y 0 0



X2 2xy Y2 Dx X Y 2dy 0 Brainly In



最新 Xy1 試す



1



Taller 3 Ecuaciones Diferenciales Ecuaciones Cantidades Fisicas



5 Y 2 Yx Dx X 2dy 0 Soluciones Por Sustitucion Youtube



Y Xy 3 1 X 2 1 2 Y 0 1 Harushley



1 Solves The Following Differential Equations 2 Chegg Com



Tarefa Solucion A La Ecuacion Diferencial Homogenea Xy 4y 2 2x 2 Dx X 2 Dy 0 2 3 Facebook



Y 2 E X 2xy Dx X 2 Dy 0



Solve X Y 1 Dx 2x 2y 3 Dy 0



Tp Ec Dif Mecatronica Matem Tica Iii Ingenier En Mecatr Nica Trabajo Pr Ctico Studocu



Xact Equations 1 X2 Y2 Dx 2xy Dy 0 2 2xy 3y Chegg Com



Ecuaciones Diferenciales De Primer Orden Ppt Descargar



2


0 件のコメント:
コメントを投稿